|
Directions: Grab graph paper, pencil, straight-edge, and your graphing calculator. First, solve these systems graphically without your calculator. Then, use your calculator to check your results, and practice your graphing calculator skills. Beware!! The dragons' graphs may, or may not, be correct!
1. |
Solve and check this linear system graphically:
y = x + 6
y = -x + 2
|
|
|
|
|
2. |
Solve and check this linear system graphically:
y = -x
2x + y = 3
|
|
|
|
|
3. |
Solve and check this linear system graphically:
x + 2y = -9
8y - 5x = 0
|
|
|
|
|
4. |
Solve and check this linear system graphcially:
2y = 3x + 2
2y - 3x = -9
|
|
|
|
|
5. |
What is the solution of the system of equations shown in the graph at the right?
|
|
|
|
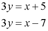
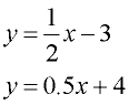
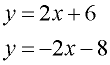
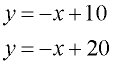
6. |
When solved graphically, which system of equations has exactly one point of intersection?
|
|
|
|
7. |
The system 5y = 8x + 8 and
7y = -8x + 16 is graphed as shown. Which choice is the point of intersection? |
|
|
|
8. |
When the system shown below is solved graphically, how many ordered pairs will be in the solution set?
15x + 3y = 6 and 2y = -10x + 4
|
|
|
|

NOTE: The re-posting of materials (in part or whole) from this site to the Internet
is copyright violation
and is not considered "fair use" for educators. Please read the "Terms of Use". |
|