|
Directions: Grab graph paper, pencil, straight-edge, and your graphing calculator. First, solve these systems graphically without your calculator. Then, use your calculator to check your results, and practice your graphing calculator skills. Beware!! The artist's drawings may, or may not, be helpful!
1. |
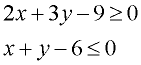
Solve this system of inequalities, and label the solution area S:

|
|
|
|
|
2. |
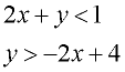
Solve this system of inequalities, and label the solution area S:

|
|
|
|
|
3. |
Solve this system of inequalities, and label the solution area S:

|
|
|
|
|
4. |
Solve this system of inequalities, and label the solution area S:

|
|
|
|
|
5. |
Which point is in the solution set of the system of inequalities shown in the graph at the right?
|
|
|
|
6. |
Which ordered pair is in the solution set of the following system of inequalities?
|
|
|
|
7. |
Given the system x + y > 5 and 3x - 2y > 4. Which ordered pair is in the solution set of
x + y > 5, but is not in the solution set of
3x - 2y > 4? |
|
|
|
8. |
Which choice is in the solution set to the system of inequalities:
 ?
|
|
|
|
9. |
Which ordered pair is in the solution set to this system of inequalities?
 |
|
|
|

NOTE: The re-posting of materials (in part or whole) from this site to the Internet
is copyright violation
and is not considered "fair use" for educators. Please read the "Terms of Use". |
|