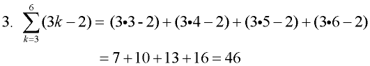
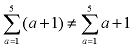
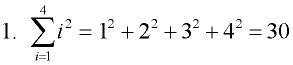
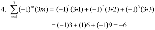
In the study of statistics, you are going to run into a new form of mathematical notation that will be used in some of the statistical formulas. This notation is the symbol ∑ (called "sigma").
This new symbol is a shorthand notation used to represent the sum of a number of terms having a common form. This shorthand notation is referred to as "summation notation" or "sigma notation". The symbol used in the notation, ∑, is the Greek capital letter "sigma".
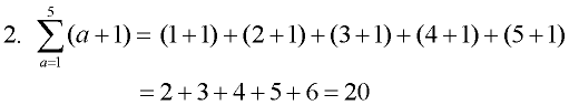
The sigma notation, ∑, is followed by an expression which represents the pattern of a "sequence" of terms. Below and above the ∑symbol will be the starting value (below) and the ending value (above) of the integer values to be substituted into the expression and then added to one another. This listing of terms to be added is called a "series".
Numbers are substituted into the expression (2i) starting with the first "i" value of "1" and continuing (counting by ones) until the "i" value reaches "7". All of these substitutions are then added, creating the sum. |
|

|