Directions: Grab your paper and pencil.
The hints from the cartoon characters may, or may not, be helpful!
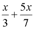
1. |
Add and simplify:  |
|
|
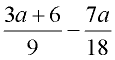
|
2. |
Subtract and simplify:  |
|
|
|
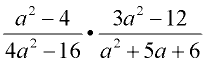
3. |
Multiply and simplify:  |
|
|
|
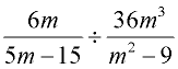
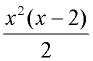
4. |
Divide and simplify:  |
|
|
|
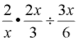
5. |
Combine and simplify:  |
|
|
|
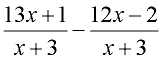
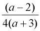
6. |
Subtract and simplify:  |
|
|
|
7. |
Simplify:  |
|
|
|
8. |
Simplify:  |
|
|
|

NOTE: The re-posting of materials (in part or whole) from this site to the Internet
is copyright violation
and is not considered "fair use" for educators. Please read the "Terms of Use". |
|