Simplifying Square Roots: |
|
A square root is in simplest form when
1.
the radicand contains no perfect square factors
2. the radicand is not a fraction
3. there are no radicals in the denominator of a fraction. |


• Find the largest perfect square
factor (the largest perfect square that divides into 48 with no remainder). You need to be familiar with a list of perfect squares.

• Give each factor its own radical sign.
• Reduce the "perfect square" radical that was created.

• ANSWER: 

Don't worry if you do not pick the LARGEST perfect square factor to start. You can still get the correct answer, but you will have to repeat the process. See what happens if we choose 4 instead of 16 to start:

Notice how the out-front 2 in the second line is multiplied along for the rest of the problem.
|


The number 23 cannot be factored by any of the perfect squares (23 is prime). This is a trick question as it is already in simplest form and cannot be reduced further.



The problem has a number in front of the radical. This number is being multiplied times the radical, and that multiplication will carry through in the solution. The radical is simplified and the six is multiplied times that simplification.


A full explanation of dealing with this type of question can be fournd at: Divide Radicals & Rationalize Denominators.
For this page, let's take just a quick peek:
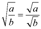
If there is a fraction under the radical symbol, the radical is NOT in simplest form.
Separate the problem by giving the numerator and denominator their own radical symbols. This is an application of the Quotient Rule (seen at the right).

While this solution may be better, it is still not in simplest form, since it leaves a radical in the denominator.
Now, let's get rid of the radical in the denominator by multiplying by a fraction whose value is "one".


This process of removing a radical from the denominator is referred to as "rationalizing the denominator" because it turns the denominator into a rational (not irrational) value.

Extra: Let's take a quick peek at how to rationalize cube roots:

• Find the largest perfect cube
factor (the largest perfect cube that divides into 24 with no remainder).

• Give each factor its own radical symbol. 
• Reduce the "perfect cube" radical that was created.

• ANSWER: 
|