|
Directions: Answer these questions pertaining to the cube roots. Check your answer when finished. Choose the best answer. The people's "hints" may, or may not, be helpful!
1. |
Which of the following choices is not a perfect cube? |
|
|
|
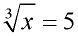
2. |
If , what is the value of x? |
|
|
|
3. |
Between which two integers will you find ? |
|
|
|
4. |
What is the value of ? |
|
|
|
5. |
Simplify:  |
|
|
|
7. |
Simplify:  |
|
|
|
8. |
Simplify:  |
|
|
|
9. |
If the volume of a cube is 216 cubic inches, what is the length of its side, in inches? |
|
|
|
10. |
Simplify:  |
|
|
|

NOTE: The re-posting of materials (in part or whole) from this site to the Internet
is copyright violation
and is not considered "fair use" for educators. Please read the "Terms of Use". |
|
|