Practice Page
Directions:
Decide whether the following statements are TRUE or FALSE. Check your answer when finished. Assume any variables represent a positive quantity.

     
 
Add / Subtract
 
 
facemath1
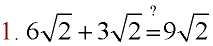
TRUE
FALSE
 
fm2
TRUE
FALSE
 
fb13
TRUE
FALSE
 
fb14
TRUE
FALSE
 
newRad
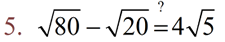
TRUE
FALSE


     
 
Multiply / Divide
 
 
fb21
TRUE
FALSE
 
fb22
TRUE
FALSE
 
fb23
TRUE
FALSE
 
fb24
TRUE
FALSE
 
newRand2
TRUE
FALSE


Directions: Answer these questions pertaining to working with radicals. Choose the best answer. Check your answer when finished.

1.
Add radaddface1.
faceBox1a
  Choose:
 
rf11
raf12
radaf13
radf13



2.
Multiply rf222.
facebox2c
   Choose:
 
rf22a
rf22b
rf22c
rf22d



3.
Simplify radface1q3.
facebox1b
   Choose:
 
rff1a
rf11b
rf11c
radface1q3



4.
Simplify radmultf23.
facebox2b
   Choose:
 
radmulf23a
radmultf23d
 
radmultf23b
radmultf23c



5.
Simplify radaddF15.
facebax1c
   Choose:
 
radaddf15a
radaddf15b
zero
radassf15d

 

6.
Which value is needed in the box for simplifying?
      radMultF26
faceBox2a
   Choose:
 
radmultf26a
radmultf26b
radmultf26d
radmultf26c



divider

NOTE: The re-posting of materials (in part or whole) from this site to the Internet is copyright violation
and is not considered "fair use" for educators. Please read the "Terms of Use".