 |
•
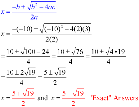
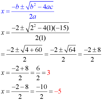
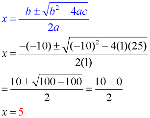
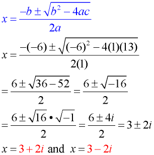
As you can see in the formula, the coefficients (numbers) "a", "b", and "c" from
ax2 + bx + c = 0 are substituted into the formula.
•
Also notice that the formula will yield two (±) solutions, since a quadratic is a
second degree equation.
• The "2a" in the denominator is underneath the entire top, not just the radical.
• Be careful with the "signs" of the "a", "b", and "c" values when substituting. |