Algebra 1 section of MathBitsNotebook.com

A1Side
Practice Test 2 - Algebra 1
Interactive Version - Multiple Choice

Algebra 1 Outline | MathBitsNotebook.com | MathBits' Teacher Resources

Terms of Use | Contact Person: Donna Roberts
divider

Directions:  Choose the best answer.  Answer ALL questions (or only a few at a time), then use the BUTTON at the BOTTOM of the page to check your answers.  If you are told that an answer is incorrect, go back and redo that question and CHECK ANSWERS again.   You may CHECK ANSWERS at any time. You may use your graphing calculator when working on these problems.

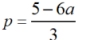
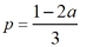
1.  Solve the following equation for p:   9 - 6a = 3(p + 2)

[1]   p = 5 - 2a [2]  [3]  p = 1 - 2a [4] 



2. 
What is the equation of the line passing through the point (-4,5) with a slope of ?

[1]  2y = -3x - 2 [2]  2y = -3x - 22
[3]  -2y = 3x - 2 [4]  -2y = -3x - 22
 


3. 
If t2mc3, what is the range of g (x) ?
[1] (0,∞) [2] [2,∞) [3] (-1,∞) [4] [-3,∞)
 


4. 
If f (x) = x2, which transformation will result in a shift left 4 units and down 2 units?

[1] g(x) = (x - 4)2 + 2 [2] g(x) = (x + 4)2 - 2
[3] g(x) = (x - 4)2 - 2 [4] g(x) = (x + 4)2 + 2
 


5. 

[1] [2] [3] [4]
 


6. 
After examining the table of values below, which statement is a false statement?
t2table6

[1] The domain is {-2, 0, 1, 2, 4, 5}. [2] The average rate of change is -2.
[3] The range is {0, 1, 4, 5, 6, 8}. [4] This relation is a function.
 


7. 
When the teacher asked for examples of rational numbers, Ted's response was t2rad81and Tanya's response was t2tanya. Which statement regarding these responses is true?

[1] Both responses are irrational. [2] Ted's response is irrational, and Tanya's
             is rational.
[3] Both responses are rational. [4] Ted's response is rational, and Tanya's              is irrational.
 


8. 
What is the solution to the equation ?

[1] 10,5 [2] 4.5 [3] 5.4 [4] 4.8
 


9. 
Given the function y = x3 - 4x, what are the zeros of the polynomial function?

[1] x = 0, 2 [2] x = -2, 0 [3] x = -2, 2 [4] x = -2, 0, 2
 


10. What is the solution to the inequality 3x - 4 > 1.5x + 8 ?
[1] x < 8 [2] x > 4.8 [3] x < 4.8 [4] x > 8
 


11. 
The equation A = P(1 + 0.04)n is used to find the amount of money in an account, A, of an investment, P, after n years.  Which phrase describes the yearly rate of change?

[1] decreasing by 4%

[2] increasing by 4%
[3] decreasing by 0.04% [4] increasing by 0.04%
 


12.  Three expressions are shown below:

  I.    (3ab4)2
II.   (3a)2b8
III. (3ab3)(3ab5)
Which expressions are equivalent for positive values of a and b?
[1] I and II only [2] II and III only [3] I and III only [4] I, II and III
 


13. 
When factored completely,   -2x3 + 16x2 - 30x   is

[1] -2x(x - 6)(x - 5) [2] -2x(x + 6)(x - 5) [3] -2x(x + 6)(x - 5) [4] -2x(x - 3)(x - 5)
 


14. 
What is the 21st term of the sequence:   -5, -8, -11, -14, -17, -20, ... ?

[1] -55 [2] 55 [3] -65 [4] 65

 


15.  yle finds two one-dollar bills and nine dimes in the center console drawer of his truck. He needs $5.85 to buy a treat he wants at Scoops Ice Cream stand. There appear to be some quarters in the bottom of the drawer. Which inequality could be used to determine the number of quarters, q, he needs to find in the console drawer to buy his treat?
[1] 2.90 + q > 5.85 [2] 2.90 + q < 5.85
[3] 2.90 + 0.25q < 5.85 [4] 2.90 + 0.25q > 5.85
 


16.  A survey was conducted to determine preferences between a sport utility vehicle (SUV) and a sports car.
Of the number preferring sports cars, approximately how many were female (to nearest %)?
[1] 19% [2] 35% [3] 39% [4] 53%
 


17. 
If p(x) = 2x, what is the value of p(3) - p(2) ?

[1] 1 [2] 2 [3] 6 [4] 4
 


18. 
For the box plot shown below, which statement is false?
             t2box

[1] The IQR is 30. [2] The median score was 70.
[3] The third quartile is 90. [4] The range is 60.
 


19.  The ages of three friends are represented by three consecutive even integers. If the youngest of the three is represented by a, express the sum of the ages of the three friends.
[1] a2 + 4a + 3 [2] 3a + 6 [3] 3a + 3 [4] 3a + 4
 


20. 
If s(x) = | x | is graphed, which statement is true about s(x) ?

[1] s(x) is not a function. [2] It is negative on the interval (-∞,0).
[3] It is increasing on the interval (0,∞). [4] The domain and range are both (-∞,+∞).
 


21. 
Which function has the largest y-intercept?

[1]
     f (x) = -2x + 3
[2]
     g(x) = | x | + 5
[3] [4]
 


22. 
Combine and simplify:
(3x3 – 2x2 + 4) + (2x2 – 5x – 6) – (4x2 – 5x – 8)

[1] 3x3 + 4x2 + 10x + 11 [2]x2 – 10x + 8
[3] 3x3 + 10x + 6 [4] 3x3 – 4x2 + 6
 


23. 
What is the product of (3x + 5) and (x - 4) ?

[1] 3x2 + 17x - 20 [2] 3x2 - 7x - 20
[3] 3x2- 20 [4] 3x2 + 8x - 20

 

24.  At which point does the function y = x2 - 4x - 12 reach its minimum value?
[1] (-2,0)
[2] (2,0)
[3] (0,-12)
[4] (2,-16)