Directions: Answer these questions pertaining to polynomials. Check each answer when finished.
1. |
Simplify:
|
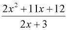
|
|
2. |
Simplify: (x2 - 36) รท (x + 6)
|
|
|
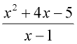
3. |
Simplify:
|
|
|
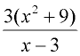
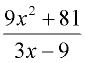
4. |
Simplify:
|
|
|
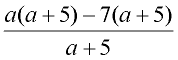
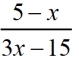
5. |
Simplify: 
|
 |
|
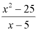
6. |
Simplify:
|
|
|
7. |
Which choice is equivalent to ?
|
|
|
8. |
Simplify:
|
|
|

NOTE: The re-posting of materials (in part or whole) from this site to the Internet
is copyright violation
and is not considered "fair use" for educators. Please read the "Terms of Use". |
|