Practice Page
Directions: Answer these questions pertaining to polynomials. Check each answer when finished.

1.
Simplify:  pdm1a
Choose:
6x2 6x 6 6x3
pcheer1

 

 

2.
Fill in the box:   pdmath2

Choose:
4 4x 4x2 4x3
pcheer2

 

 

3.
Simplify:  

Choose:
-2a + 4 2a + 4 2a - 4 -2a - 4
pcheer3

 

 

4.
Simplify:   pdmath4
Choose:
3x2 - 5x 3x2 - 5 3x - 5 3
pcheer5

 

 

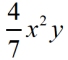
5.
Simplify:   pdmath5
Choose:
2x2 + 3x 2x2 + 3x + 3
2x2 + 3x + 1 2x4 + 3x3 + x2
pcheer4

 

 

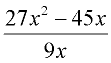
6.
Simplify:  
Choose:
4s +3 -4s + 3 -4s - 3 4s -3
pcheer6a

 

 

7.
Simplify:  pdmath7
Choose:
1 -1 2x2 - 5 2x2 + 1
pcheer7

 

 

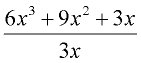
8.
Simplify:  (3x3 + 9x2 - 24x) ÷ (3x)
Choose:
x2 + 3x - 8 3x2 + 3x - 8
x2 + 3x - 9 2x2 + 3x - 8
pcheer10

 

 

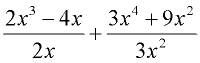
9.
Simplify:  
Choose:
½ x4 + x2 - 10 ½ x4 + x2 + 10
x4 + x2 + 10 -2x4 + x2 + 10
pcheer8

 

 

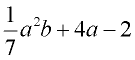
10.
Simplify:   pdmath10
Choose:
a2b + 4a - 2 a2b + 4ab - 2
pdmath10a pdmath10b
pcheer9

 

 

11.
Simplify:  
Choose:
x2 x9 4x2 4x9
pcheer11

 

 

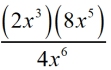
12.
The product of and , expressed in simplest form is ...

Choose:
pcheer12

 

divider

NOTE: The re-posting of materials (in part or whole) from this site to the Internet is copyright violation
and is not considered "fair use" for educators. Please read the "Terms of Use".