Directions: You may need paper and pencil. Choose the correct answer.
1. |
Solve for x: 2x + 5 = 13 |
|
|
|
2. |
Solve for a: 6a - 12 = 24 |
|
|
|
3. |
Solve for x: 4x + 15 = x - 6 |
|
|
|
4. |
Solve for m: 2(m + 8) = 42 |
|
|
|
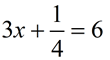
5. |
Solve for x:  |
|
|
|
6. |
Solve for a: 2.5 + 5a = 3a + 10.5 |
|
|
|
7. |
Solve for b: 2(b + 8) = 4(b - 6) |
|
|
|
8. |
Solve for k: 2k + 1.8 = 4k - 4.4 |
|
|
|
9. |
Solve for m: 5m + 2 - 3m + 8 = 2m + 10 |
|
|
|
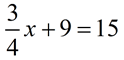
10. |
Solve for x:  |
|
|
|

NOTE: The re-posting of materials (in part or whole) from this site to the Internet
is copyright violation
and is not considered "fair use" for educators. Please read the "Terms of Use". |
|