Directions: Solve the following fractional linear equations for x.
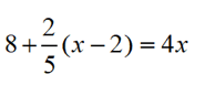
1. |
Solve for x:
|
 |
|
|
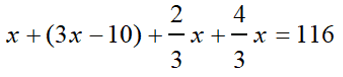
2. |
Solve for x:  |
 |
|
|
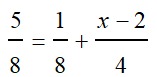
3. |
Solve for x:
|
|
|
|
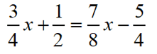
4. |
Solve for x:  |
|
|
|
5. |
Solve for x:  |
|
|
|
6. |
Solve for x:
|
|
|
|
7. |
Solve for x:
|
|
|
|
8. |
Solve for x:
|
 |
|
|
9. |
Solve for x:  |
 |
|
|
10. |
Solve for x:
|
 |
|
|

NOTE: The re-posting of materials (in part or whole) from this site to the Internet
is copyright violation
and is not considered "fair use" for educators. Please read the "Terms of Use". |
|