|
Directions: Solve the following equations, for the indicated variable. Be careful! The students' choices may, or may not, be correct.
1. |
Solve for x: 3x - 12 = 0
|
|
|
|
2. |
Solve for m: 2(m + 6) = 48 |
 |
|
|
3. |
Solve for x: 3(2x - 1) - 10 = 8 + 5x
|
|
|
|
4. |
Solve for x: 8x + 9 - 3x = 8 + 5x + 1 |
|
|
|
5. |
Solve for a: 8a - (4a + 32) = 16 |
|
|
|
6. |
Solve for x: 5(2x - 1) = 4(3x - 2)
|
|
|
|
7. |
Solve for m: 0.02m + 0.08(8 - m) = 1.78 |
|
|
|
8. |
Solve for x: 4(x + 5) = 3(x - 2) - 2(x + 2)
|
|
|
|
9. |
Solve for x: 6x - [2x + 3(x + 1)] = x + 20 |
|
|
|
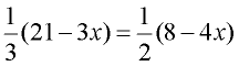
10. |
Solve for x:
|
|
|
|

NOTE: The re-posting of materials (in part or whole) from this site to the Internet
is copyright violation
and is not considered "fair use" for educators. Please read the "Terms of Use". |
|