|
Directions: Grab your paper, pencil, and graph paper. Read carefully!
1. |
A roofing team has been hired to put new asphalt shingles on this roof.
a) At what grid point does the roof change from increasing to decreasing?
b) What is the vertical distance, in feet, from the bottom of the roof line to the peak of the roof?
|
Roof-line View 
Scale: Each grid unit = 2½ feet |
c) Asphalt singles require a roof pitch (slope) of at least 4/12. Does this roof meet this qualification? Explain.
d) Write a piecewise-defined function that can be used to produce this front, outline, graphical view of the 2 edges of the roof.
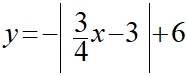
e) Does the following function, written in absolute value form, produce the same graph as your answer to part d?
on the domain 0 < x < 8 |
|
|
2. |
The fees for using the parking garage at Upstate Hospital are shown in the chart at the right.
a) What is the fee for parking for 2 hours and 15 minutes?
b) What specific name is given to the type of function graph used to illustrate this data?
c) Write a function in piecewise form to illustrate this information.
|
Upstate Hospital Parking Garage
Daily Parking Rates
Time |
Rate |
0.0 - 0.5 hour |
$0.00 |
0.5 hours - 1 hour |
$2.00 |
1 hour - 2 hours |
$4.00 |
2 hours - 3 hours |
$8.00 |
3 hours - 4 hours |
$12.00 |
4 hours - 5 hours |
$16.00 |
5 hours - 24 hours |
$21.00 |
You may assume that the right hand time value is included in that time amount,
but not included in the next entry. |
|
|
3. |
Dylan rides his motorcycle from his home to his friend's home 125 miles away. The graph at the right shows his journey.
a) Describe (as a "story") the series of events, in terms of time and speed, that are represented on the graph.
b) State the fastest average speed he maintained for at least one hour.
|
Dylan's Trip  |
c) How many "pieces" would be needed to represent this situation as a piecewise-defined function?
d) Write a function in piecewise form to illustrate these events. |
|
|
4. |
Farmer Jones is plowing a field for planting. He will be using two tractors to complete the job. The larger tractor travels at a constant speed of 10 mph. The smaller tractor travels at a constant speed of 18 miles per hour. For the first 6 hours of plowing, he will use the larger tractor. For the remaining 4 hours needed to complete the job, he will use the smaller tractor.
a) Write a function in piecewise form to illustrate the relationship between the hours spent plowing and the miles covered.
b) Graph your function.
c) State the domain and range of this function.
|


|
|
5. |
A snowstorm hits central NY and rages for 8 hours. It snows at the rate of 2 inches per hour for the first 3 hours. The storm then intensifies and snows at the rate of 4 inches per hour for the next two hours. The storm starts to lessen and snows for 1 inch per hour for the remaining three hours.
a) Write a piecewise function to express the amount of snow on the ground throughout the duration of the storm.
b) Graph your function.
c) After how many hours will there be a depth of 6 inches of snow from this storm?
d) How much snow was on the ground at the end of the storm?
(Assume no melting occurred.)
|


|
|
6. |
Josh is testing the constant acceleration and constant deceleration of his new electric bicycle. His test can be modeled by the function:
b(t) = -4 | t - 5 | + 20
where t is time in minutes, and b is the speed of the bicycle in mph.
a) Graph this function. Apply appropriate limitations.
b) What is the fastest speed obtained during this test?
c) Express this graph as a piecewise defined function.

|
|
7. |
A fire hose pumps water on a fire at the rate of 120 gallons per minute. After 30 minutes, a second fire hose is brought in to increase the water to the fire. The second hose pumps water at 80 gallons per minute. This continues with both hoses for one additional hour, at which time the fire is extinguished.
a) Write a piecewise function to express the amount of water being pumped onto the fire during the stated time periods.
b) Graph your function.
c) In total, how many gallons of water were used to extinguish the fire?
|


|
|
|
8. |
The sign at the Widget Wonders Store states:
Cost of Widgets
$2.50 each, up to 5 widgets
$1.75 each, 5 widgets or more. |
a) Write an equation for a piecewise function for the relationship between the number of widgets purchased and the cost. State the domain.
b) Graph the function.
c) A customer purchases 4 widgets. Would it have been cheaper for the customer to purchase 5 widgets?
|


|
|
|

NOTE: The re-posting of materials (in part or whole) from this site to the Internet
is copyright violation
and is not considered "fair use" for educators. Please read the "Terms of Use". |
|