|
Directions: These questions pertain to linear equation word problems. Read carefully!
1. |
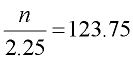
The Sports Boosters are selling pennants at the school football games to raise money for new uniforms. Each pennant sells for $2.25. At the first game, the Boosters collected $123.75 from pennant sales.
a. Which equation can be used to find the number of pennants sold at the first game (where n represents the number of pennants)?
|
|
Choose:
b. How many pennants were sold at the first game?
Choose:
|
|
2. |
The ages of three friends are consecutively one year apart. Together, their ages total 48 years.
a. Which equation can be used to find the age of each friend (where a represents the age of the youngest friend)?
|
 |
Choose:
|
|
3. |
Final course averages in Mr. McMillan's class are computed by a straight average of the four report card grades and the final exam. Mr. McMillan does not "round up" on final averages. Kyli's four report card grades are 75, 83, 92, and 85. Kyli's goal is to achieve a final course average of 85 in Mr. McMillan's class. |
 |
|
a. Which equation can be used to find the final exam score that will give Kyli her final course average of 85 (where f represents the final exam score and rounding is not considered)? |
Choose:
|
|
4. |
The animal shelter is building three equal-sized rectangular dog runs on the back of their building. The length of the adjoining runs needs to be 3 times their total width. The shelter has 156 feet of donated chain link fencing for constructing the runs. |
 |
|
No fencing is used against the building.
a. Which equation can be used to find the dimensions of the dog runs (where w represents the total width of the runs)? |
Choose:
|
|
5. |
Your favorite skateboarding hoodie is on sale for $25.20 after being marked down 30%. (Yes, her hair is purple!)
a. Which equation can be used to find the original price of the hoodie before the sale? (where p represents the original price)?
|
 |
Choose: |
|
|
6. |
Two boats are 300 miles apart and moving directly towards each other. One boat is moving at a speed of 60 mph and the other is moving at 50 mph. Assume the boats started moving at the same time. |
|
|
|
a. Which equation can be used to find the time until the boats meet (where t represents the time in hours)? |
Choose:
|
|
7. |
A number is such that 10 less than twice the number is 5 more than the number. |
 |
|
a. Which equation can be used to find the number (where n represents the number)? |
Choose:
|
|
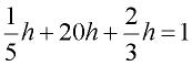
8. |
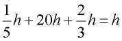
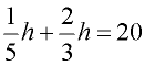
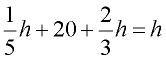
A tower is painted such that one-fifth of its height is black, the next 20 feet is yellow, and the remaining two-thirds of the height is painted red. |
|
|
a. Which equation can be used to determine the total height of the tower (where h represents the height)? |
Choose: |
|
|
9. |
Waldo has saved $14.55 in nickels and quarters. He has 21 more quarters than nickels. |
 |
|
a. Which equation can be used to find the number of nickels (where n represents the number of nickels)?
|
Choose:
|
|
10. |
A rancher bought three horses for $2,700 for his riding stable. The palomino (blonde) horse cost twice as much as the sorrel (brown) horse. The prize-winning black horse cost twice as much as both the palomino and the sorrel. |
 |
|
a. Which equation can be used to find the cost of the sorrel (where c represents the cost of the sorrel)? |
Choose:
|
|

NOTE: The re-posting of materials (in part or whole) from this site to the Internet
is copyright violation
and is not considered "fair use" for educators. Please read the "Terms of Use". |
|