|
Remember: |
The process of solving a linear inequality is the same as solving a linear equation, except ...
... when you multiply (or divide) an inequality by a negative value,
you must reverse the direction of the inequality. |
Solving Linear Inequalities:
For more basic problems on solving inequalities, see Refresher section.
 |
|
For calculator help with linear inequalities
click here. |
|
|
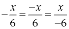
Solve and graph the solution set of:  |
Dealing with Fractions:
Hint: In this problem, the negative signs appear in front of the two fractional terms. It may be easier to place the negative signs in the numerators when solving the problem, so as not to "forget" them.  |
This example places the negative sign in the numerators.
Multiply all terms by the least common denominator (which is 6).
Add 4x to both sides.
The solution is easier if you move the smaller x value.
Be sure to write the 0 on the right side.
Subtract 12 from both sides.
Divide both sides by 3.
|

Other notations:
 |

Solve and graph the solution set of:  |
Reverse the Inequality Symbol:
Remember: When you multiply or divide by a negative value (-1), reverse the direction of the inequality symbol. |
Multiply both sides by the least common denominator, which is 8.
Divide both sides by -1, and flip the direction of the inequality.
Note: The direction of the inequality was reversed since we divided by a negative value (-1).
Graph using a closed circle for -2 (since x can equal -2) and an arrow to the left (since our symbol is less than or equal to). |

Other notations: |

Solve and graph the solution set of: -5x + 5 > x - 30 |
Variable on the Right:
Remember: If the variable ends up on the right side of the inequality, after being solved, don't panic! The variable on the right is perfectly OK. If you want to move the variable to the left side, be sure to reverse the direction of the inequality symbol. 6 > x is the same as x < 6 |
Move the x's to one side of the inequality symbol. (Add +5 x to both sides.)
Add +30 to both sides to combine the constants (numbers).
Divide both sides by 6 to arrive at the answer.
|


Other notations:
 |

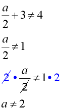
Solve and graph the solution set of:  |
Dealing with ≠ (not equal):
If the problem deals with "not equal" (≠), solve the problem as if you were solving with an equal sign. That solution will be the only value that will make the "not equal" version FALSE. All other values will make it TRUE. |
Subtract 3 from both sides.
Multiply both sides by 2.
The solution to this inequality is all real numbers except 2. The number 2 is the only value which makes this inequality false, because it makes both sides equal to 4.
 |

Other notations:

|

Solve and graph the solution set of: 2(3x - 1) > 6x - 5 |
Dealing with ALL Answers TRUE:
If the variable cancels out when solved, and you are left with a TRUE numerical statement, the solution will be ALL REAL NUMBERS work. |
Distribute across the parentheses.
Subtract 6 x from both sides.
Notice the TRUE numerical result.
The solution to this inequality is the entire set (all) Real Numbers.
The graph is the entire number line. |
2(3x - 1) > 6x - 5
6x - 2 > 6x - 5
-6x -6x
-2 > -5 TRUE
This tells us that any x-value that is a Real number will make this inequality true.
Solution: ALL REAL NUMBERS

|

Solve and graph the solution set of: 4(2x + 1) < 8x + 4 |
Dealing with ALL Answers FALSE:
If the variable cancels out when solved, and you are left with a FALSE numerical statement, there will be NO solution. |
Distribute across the parentheses.
Subtract 8 x from both sides.
Notice the FALSE numerical result.
The solution to this inequality is the "empty set" ( ). There are no x-values which will make this inequality true.
|
This tells us that NO x-values will make this inequality true.

There is nothing to be graphed.
|
In this problem, the left side of the inequality is simply another way of writing the right side of the inequality. The two sides are algebraically EQUAL to one another. Since a quantity can never be less than itself, this inequality is never true. |
|

Solve for x: ax > 6a |
Dealing with Variable Coefficients:
If the coefficient of the stated variable, x, is a "letter" (another variable), there will be NO solution UNLESS you are told (in the problem) that the "letter" coefficient is "positive" or "negative". |
At first glance, it seems that dividing both sides by a will solve the problem.
BUT ...
We just don't know (in this problem) if a is a positive value or a negative value. If a is positive, our solution of x > 6 will be true.
But if a is negative, we need to reverse the direction of the inequality, and the solution is x < 6.
Since we were not told in the problem whether a is positive or negative, we cannot state a solution to this problem.
Therefore, there is NO SOLUTION!
|
 _________________________________

|

An inequality cannot be solved by dividing by a "variable" (a letter) coefficient if you do not know that the "variable" is either always positive or always negative. |
|

NOTE: The re-posting of materials (in part or whole) from this site to the Internet
is copyright violation
and is not considered "fair use" for educators. Please read the "Terms of Use". |
|
|