Directions: Solve the following problems relating to compound inequalities. Be careful! The shout outs may, or may not, be correct.
1. |
Which of the following choices is a solution to
x < -5 or x > 7 ?
|
|
|
|
2. |
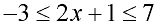
Which of the following choices is not a solution to
 ? |
 |
|
|
3. |
Which of the following graphs represents the solution set for:
|
|
|
|
4. |
Which of the following graphs represents the solution set for:
 |
|
|
|
5. |
Which of the following choices is a solution to:
 |
|
|
|
6. |
Which expressions is represented by this graph?
|
|
|
|
7. |
Which expression has the entire number line as its graph? |
|
|
|
8. |
Which choice is the solution set for:
|
|
|
|

NOTE: The re-posting of materials (in part or whole) from this site to the Internet
is copyright violation
and is not considered "fair use" for educators. Please read the "Terms of Use". |
|