|
We saw in Basic Information, that some sequences can be expressed by a single formula.
Such sequences are referred to as explicit sequences.
Certain sequences (not all) can be defined (expressed) as an "explicit" formula that defines the pattern of the sequence.
An explicit formula will create a sequence using n, the number location of each term.
If you can find an explicit formula for a sequence, you will be able to quickly and easily find any term in the sequence simply by replacing n with the number of the term you seek.
|
An explicit formula designates the nth term of the sequence,
as an expression of n (where n = the term's location).
It defines the sequence as a formula in terms of n.
It is most commonly written in subscript notation, an. |
In plain English, an explicit formula establishes a formula finding any term in a sequence,
by using its "position number" in the sequence.
An explicit formula allows you to jump to any term in a sequence to find its value.

Let's take a look at some sequences that are explicit and some that are not.

{1, 3, 5, 7, 9, 11, . . .}
This is the set of odd, positive integers.
|
It can be expressed as
an = 2n - 1
Explicit Sequence
|
 |

{8, 6, 4, 2, 0, 2, 4, . . .}
This sequence decreases, then increases.
|
It can be expressed as
an = 2 | n - 5 |
Explicit Sequence
|

|
Doesn't it make sense that this sequence may be associated with absolute value?
The absolute value graph can also decrease, then increase.

{-9, -6, -3, 0, 3, 6, . . .}
Increasing sequence.
|
It can be expressed as
an = 3n - 12
Explicit Sequence
|

|
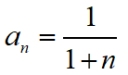
Notice how this graph goes into Quadrant IV.


|
It can be expressed as

Explicit Sequence |
 |

{3, 1, 4, 1, 5, 9, . . .}
The digits in π.
|
There is no formula for the
nth term of this sequence.
NOT Explicit |
 |

{g, o, o, d, f, a, n}
The letters in "good fan". |
There is no formula for the
nth term of this sequence.
NOT Explicit
|
 |
The graph is drawn using the number of the letters placement in the alphabet ( a, b, c, ... is 1, 2, 3, ...)
Sequence: {0, 1, 1, 2, 3, 5, 8, 13, 21, 34, 55, ...}
 |
The sequence shown in this example is a famous sequence called the Fibonacci sequence.
It was introduced in 1202 by Leonardo Fibonacci. In its original form, the first term of the sequence was 1. By modern convention, the sequence now may begin with either 1 or 0.
Let's take a look at this famous sequence.
|
The Fibonacci sequence is famous as being seen in nature (leaf arrangements, bracts of pine cones, scales of pine cones, sunflowers, flower petals, Nautilus shells, grains of wheat, coniferous trees, bee hives, and even single cells). It is referred to as Nature's numbering system.
The Fibonacci sequence is also associated with the golden ratio (1.61803), which can be seen in the ratio of two successive terms of the Fibonacci sequence (as the Fibonacci numbers grow).
|
 Is there a pattern in the Fibonacci sequence?
Yes.
After the first two terms, each term is the sum of the previous two terms.
The easiest formula for this sequence is a "recursive formula".
It can be expressed as
a0 = 0, a1 = 1
an= an - 1 + an - 2
|
A recursive formula is a two-part formula It designates the starting terms, a0, and a1. Then, the nth term of the sequence, an , is an expression containing the previous terms (the terms before it),
an - 1 and an - 2. A recursive formula is not an explicit formula. |
|
|
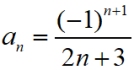
Is there an explicit formula for the Fibonacci sequence? Yes.
Explicit Formula:
|
|
Don't panic! You will not be asked to find explicit formulas of this difficulty level. But you may be asked to "use" a more difficult formula that you are given. |
|
What about the graph of the Fibonacci sequence?
As seen at the right, when graphed, the Fibonacci sequence takes on the appearance of an exponential graph.
While it is not truly exponential, the Fibonacci sequence can be "modeled" (estimated) with an exponential function. With the sequence's connection to the golden ratio, it can be "modeled" by an exponential function with 1.6 as the base, an = 1.6x.
(This is a "model", not an exact formula match.) |
 |
The Fibonacci Sequence is neither an Arithmetic Sequence, nor a Geometric Sequence.
|

|
It is easy to see that an explicit formula works nicely
once you are given the formula.
Unfortunately, it is not always easy to come up with explicit formulas, when all you have is a list of the terms. |
In the next lessons, we will be working with types of sequences for which
an explicit formula can be found using a pattern.
Unfortunately, few other sequences have such convenient set patterns.
|
Arrow down to
"In Func MODE" |
|

NOTE: The re-posting of materials (in part or whole) from this site to the Internet
is copyright violation
and is not considered "fair use" for educators. Please read the "Terms of Use". |
|