|
Directions: Read carefully.
1. |
Given f (x) = {(2,3), (1,-8), (5,3), (9,0)}
a) Which list represents the inverse of f (x)?
Choose:
b) Is the inverse a function?
Choose:
|
|
|
2. |
Given the following function:
x |
1 |
-3 |
4 |
0 |
-2 |
5 |
2 |
-1 |
f (x) |
6 |
3 |
-2 |
4 |
-1 |
5 |
7 |
0 |
a)
What is the inverse of f (x)?
Choose:
b) Is the inverse a function?
Choose:
|
|
3. |
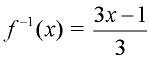
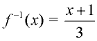
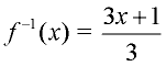
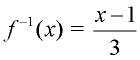
What is the inverse of f (x) = 3x + 1?
Choose:
|
|
|
4. |
Which function will not pass the Horizontal Line Test, which tells us that its inverse is not a function?
Choose:
|
|
|
5. |
The inverse of the graph shown at the right will also be a function.
Choose:
|
|
|
6. |
As seen in the graph at the right, function f (x) is a reflection of function h (x).
Is function f (x) the inverse of function h (x)? |
 |
Choose:
|
|
|
|
7. |
a) Find the inverse of f (x) = x2 + 4.
Choose:
b) Is the inverse a function?
Choose:
|
|
|
8. |
The function g (x) = (x + 2)2 for x > -2
will have an inverse function.
Choose:
|
 |
|

NOTE: The re-posting of materials (in part or whole) from this site to the Internet
is copyright violation
and is not considered "fair use" for educators. Please read the "Terms of Use". |
|