Directions: Answer these questions pertaining to the numerical exponents. Choose the best answer Check your answer when finished to see if your choice is correct.
1. |
Simplify:  |
|
|
|
2. |
Which choice is equivalent to ? |
|
|
|
3. |
Simplify:  |
|
|
|
4. |
Which choice is equivalent to ? |
|
|
|
5. |
Which choice is equivalent to ? |
|
|
|
Directions: Answer these question pertaining to the use of exponents. Determine if these expressions are equivalent. Check your answer when finished.
|
Expressions: |
True or False |
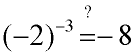
6. |
|
|
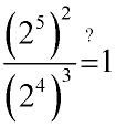
7. |
|
|
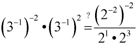
8. |
|
|
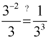
9. |
|
|
10. |
|
|
|

NOTE: The re-posting of materials (in part or whole) from this site to the Internet
is copyright violation
and is not considered "fair use" for educators. Please read the "Terms of Use". |
|