bullet Exponent Rules:

For all Real numbers x and y, and for all integers m and n (unless otherwise stated):

Exponent Rule: Symbolism: In plain English ...
Zero Exponent x0 = 1 All numbers (not zero) raised to the zero power equal one.
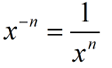
Negative Exponent chart3a A negative exponent tells you that the factor is on the wrong side of the fraction bar. ( x not zero, n positive).
Product Rule chart2 When multiplying, and the bases are the same, ADD the exponents.
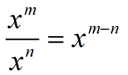
Quotient Rule chart4a When dividing, and the bases are the same, SUBTRACT the exponents, top exponent subtract bottom exponent.
(x not zero)
Power to a Power chart6 When raising a power to a power, MULTIPLY the exponents.
Product to a Power chart7 When raising a product to a power, EACH factor gets raised to the new power.
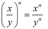
Quotient to a Power chart8a

When raising a quotient to a power, BOTH top and bottom get raised to the new power. (y not zero)




divider

NOTE: The re-posting of materials (in part or whole) from this site to the Internet is copyright violation
and is not considered "fair use" for educators. Please read the "Terms of Use".