|

Directions: Decide whether the following statements are TRUE or FALSE. Check your answer when finished. Assume any variables represent a positive quantity.
Directions: Answer these questions pertaining to working with integer exponents. Choose the best answer. Check your answer when finished.
1. |
Write  not as a fraction. |
|
|
|
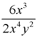
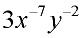
2. |
Simplify:  |
|
|
|
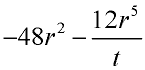
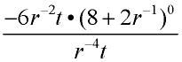
3. |
= ? |
|
|
|
4. |
Which choice is equivalent to ? |
|
|
|
5. |
Which choice is equivalent to  ? |
|
|
|
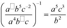
6. |
If  , what values are needed for the boxes, in order top, then bottom? |
|
|
|

NOTE: The re-posting of materials (in part or whole) from this site to the Internet
is copyright violation
and is not considered "fair use" for educators. Please read the "Terms of Use". |
|