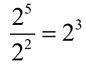
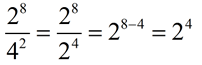
1. 
The bases are the same (both 2's), so the exponents are subtracted. |
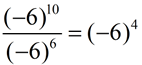
2. 
The bases can be negative values. The parentheses tell you that the entire negative value is being raised to the power.
|
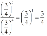
3. 
The bases are the same fraction 3/4, so the exponents are subtracted. |
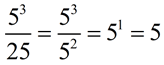
4. 
The subtraction is always done "top" minus "bottom" exponents. In this problem we get 3 - 5 = -2. This gives us a negative exponent. Remember, with negative exponents, the answer becomes one over the base with the exponent changed to positive.
|
5.
Sneaky one!!!! The bases were not the same in the original problem, but they can be CHANGED to be the same.
4 can be rewritten as 2 squared.
(Multiplication Rule).
|
6. 
As was done in Example 4, the bottom number is changed to be compatible with a base value of 5. |
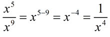
7. 
Now, let's work with variables. Again, subtraction "top" minus "bottom" exponents. In this problem we get 5 - 9 = -4.
The answer becomes one over the base of x raised to the power of +4.
|
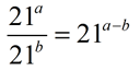
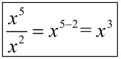
8. 
If the exponents are expressed as integer variables, simply apply the rule (subtract the variables) and leave the answer in that form. |
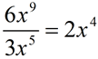
9. 
The bases are the same (all x's), so the exponents are subtracted. The numbers in front of the bases are divided. |
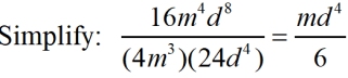
10.
Remember: top exponent minus bottom exponent.
Remember: raising to a 0 power creates a 1.
Divide the coefficients.
|
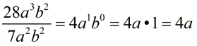
11. 
Deal with the exponents.
Deal with the coefficients.
|
12. 
Cancelling first will make computations easier.
|
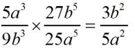
13. 
WOW!!
This problem shows combining a multitude of skills to arrive at the final answer.
|