|
"Expressions" that represent the same value may appear in several different forms,
referred to as equivalent expressions.
An easy example of equivalent expressions can be found with the Distributive Property:
The Distributive Property ensures that 3(x + 2) and 3x + 6 are equivalent expressions.
To double check, we substituted the number 5 into each expression and got the result 21 from both.
You can determine that expressions are equivalent:
• algebraically:
by showing, through algebraic computations, that both expressions can be represented as the same expression.
- remove parentheses
- combine similar terms
- arrange terms from both
expressions in the same order
- keep working until both
expressions are exactly the same |
• numerically:
by showing, through numerical substitution, that the same number(s) replacing the variable(s) in both expressions yield the same numeric results.
- substitute the same number(s) for each
variable in each expression
- compute the numerical results of each expression
- the numerical results will be the same for both expressions
NOTE: Avoid choosing the number 0 for substituting. |
When looking for equivalent expressions, you may notice that one of the expressions may appear already expanded and simplified, such as 3x + 6, while the other is in a form that can be expanded and simplied further, such as 3(x + 2). If this is the case, start work on the expression that can be simplified further. If both expressions need further work, it makes no difference where you start.

|
When determining equivalent expressions,
take your time and LOOK CAREFULLY!
Some expressions may not LOOK equivalent at first glance,
but upon further examination will be equivalent.
|
|
Are these expressions equivalent?
7x + 2x and 14x
|
(Let x = 3)
First expression:
Second expression: |
Numerical check:
7(3) + 2(3) = 27
|
Algebraic check:
7x + 2x = 9x
14x
9x ≠ 14x |
Answer:
NO
|

|
Are these expressions equivalent?
18x + 27 and 9(2x + 3) |
(Let x = 3)
First expression:
Second expression: |
Numerical check
18(3) + 27 = 81
9(2(3)+3) = 81
CHECK |
Algebraic check:
18x +27
9(2x + 3) = 18x + 27
Distributive Property
CHECK |
Answer:
YES
|
In this example, the Distributive Property shows that expanding the right side, 9(2x + 3),
give us the left side, 18x + 27. You could also have worked the Distributive Property in reverse on the left side. |

|
Are these expressions equivalent?
6(3x) and 9x
|
(Let x = 3)
First expression:
Second expression: |
Numerical check
6(3(3)) = 54
9(3) = 27
54
≠ 27
|
Algebraic check:
6(3x) = 18x
9x
18x ≠ 9x
|
Answer:
NO |

|
Which of the following expressions is equivalent to
6x - 5 for all values of x?
|
1) 3(2x - 5)
|
3(2x + 5) = 6x + 15 which is not the same as 6x - 5. |
2) 3(2x - 1) + 2
|
3(2x - 1) + 2 = 6x - 3 + 2 = 6x - 1 which is not the same as 6x - 5. |
3) 6(x - 5)
|
6(x - 5) = 6x - 30 which is not the same as 6x - 5. |
4) 6(x - 1) + 1
ANSWER
|
6(x - 1) + 1 = 6x - 6 + 1 = 6x - 5 which is equivalent to 6x - 5. |

|
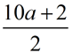
Which of the following expressions is equivalent to
?
|
1) 2(5a +1) ANSWER |
 |
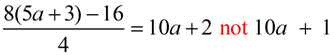
2) 
|
 |
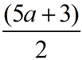
3) 10a + 1
|
 |
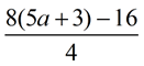
4) 
|
 |

NOTE: The re-posting of materials (in part or whole) from this site to the Internet
is copyright violation
and is not considered "fair use" for educators. Please read the "Terms of Use". |
|